Winter felt brutal and eternal, as it always does for someone who doesn’t ski or care for hot chocolate, I suppose. What a relief it is to see signs of Spring emerging from my brownish-colored yard and hear birds chirping outside once again.
Did you know NIR is quite Spring-y as well. This blog will explore some spring-themed theory.

At temperatures above absolute zero (i.e. even in the dead of a Northeast USA snowmageddon), all of the atoms in a molecule are in continuous vibration with respect to each other.
The behavior of molecular vibration is analogous to a mechanical model in which two masses connected to the ends of a spring! A disturbance of one of these masses along the axis of the spring results in a vibration called the simple harmonic oscillation.

Vibration, or the displacement of an atom relative to its equilibrium position, produces potential energy proportional to the work required to displace the mass. This energy is at its maximum when the spring is stretched or compressed to its maximum amplitude. It is at its minimum (i.e., zero) at the equilibrium position.
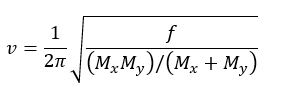
The fundamental requirement for infrared (Far-IR, mid-IR, near-IR) activity, leading to the absorption of infrared radiation, is that the energy of incident radiation matches the vibrational energy levels exactly, and that the vibration itself causes a change in dipole moment. The frequency of radiation that will bring about this change can be calculated by Hookeās Law:

where c is the speed of light (3Ć103 cm/s), f is the force constant of the bond (dyne/cm), and Mx and My are the masses of the atom x and atom y involved in the bond, respectively. The force constant is positively correlated to properties such as bond order or bond strength (i.e. the “springiness” of the bond). In accordance with the Boltzmann distribution, frequencies which correspond to fundamental transitions between the ground state and first vibrational level (n = 1) dominate the vibrational absorption spectrum. Because the majority of absorption bands of chemical compounds correspond to fundamental vibrations at infrared frequencies, it is a common tool for structural elucidation.
How does thee vibrate? Let me count the ways.
The number of possible or theoretical fundamental vibrations is determined by the total degrees of freedom of the molecule. Each atom requires three degrees of freedom in order to describe its position relative to other atoms in the molecule. Therefore, a molecule of N atoms has 3N degrees of freedom. For nonlinear molecules, six degrees of freedom are used to describe translation and rotation; the remaining 3N ā 6 degrees of freedom are vibrational degrees of freedom (i.e., fundamental vibrational modes). For linear molecules, only two degrees of freedom are required to describe rotation, resulting in 3N-5 normal modes.
Disclaimer: Sometimes 1+1 doesn’t equal 2
The number of theoretical bands will not necessarily equate to the number observed experimentally. The number of theoretical bands observed may be reduced by: lack of a change in the moleculeās dipole as it vibrates or rotates, fundamental frequencies that fall outside of the infrared region or are too weak to be observed, vibrations that coalesce, or the occurrence of a degenerate band from several absorptions of the same frequency in highly symmetrical molecules. On the other hand, vibrations at integer-multiples of a given frequency and combination tones will increase the actual number of bands observed. It is from the combination and overtones transitions that NIR spectra arise.
The NIR region of the electromagnetic spectrum covers the range of approximately 14,000 to 4,000 cm-1, or about 700 to 2,500 nm. The most prominent absorption bands occurring in the NIR region include overtones and combinations of fundamental vibrations of the IR-active āCH, āOH, -CO, āNH and āSH functional groups present in most pharmaceutical drug molecules. Due to the relatively weak molar absorptivities of the transitions responsible for the peaks observed, sample dilution is not required. This characteristic also provides for relatively deep sample penetration up to several millimeters thick, especially at shorter wavelengths (e.g., 700-1500 nm). Even though NIR spectroscopy is characterized by spectra which are typically broad, overlapping and of low intensity relative to the fundamental mid-IR absorption bands, it has some practical advantages. The richness and utility of NIR spectra is a consequence of anharmonic oscillation.
Anharmonicity: where the simple rules start to break down and things start to get interesting
Bonds which share a common atom seldom behave as independent oscillators. As the interatomic distance separating two atoms decreases, coulombic repulsion between the nuclei results in an additional force which acts in the same direction as the force restoring the system toward equilibrium. Thus, the potential energy of the system increases more rapidly than predicted by the harmonic oscillator. On the other hand, as the interatomic distance approaches that at which dissociation of the atoms takes place, a decrease in the restoring force and potential energy of the system occurs. The intramolecular interactions produce non-symmetric vibrations about the equilibrium position. The anharmonicity results in non-equivalent energy changes between vibrational states, where ĪE becomes smaller at higher quantum numbers. Moreover, the selection rule is not rigorously followed (because rules are made to be broken), thus allowing the overtones responsible for much of the NIR spectra, where Īn = ±2, ±3 and ±4 represent the first, second and third overtones, respectively.
The degree of anharmonicity determines the extent of the displacement from an integer multiple of the fundamental frequency, as well as the intensity of the overtones. Vibrations stemming from intramolecular hydrogen-bonding vibrations have the highest anharmonicity constants, leading to their prevalence and high intensity in the NIR region. That’s why NIR is so great at measuring low levels of water in samples!
More interesting stuff in the spectra:
NIR spectra are further enriched when vibrational modes interact to give absorptions at frequencies that are the approximate sums or differences of their fundamental frequencies. These combination bands, which generally occur between 1900 and 2400 nm, are a consequence of energy absorption by two bonds rather than one, allowing the photon to excite two vibrational modes simultaneously. As with overtones, the intensities of combination bands are weaker than their fundamental frequencies.
A special type of interaction called Fermi resonance occurs as a consequence of accidental degeneracy of different vibrational modes have the same symmetry and approximately the same frequency as a fundamental vibration. This results in two relatively strong absorbance bands which are displaced at slightly higher and lower frequencies than expected, respectively.
Darling and Dennison resonance affects vibrations which have identical symmetry species and similar energies, leading to several pairs of absorption bands.
Coupling between oscillators results in slight to moderate shifts in the absorption frequency of the molecules involved. In general, coupling requires that vibrations be of the same symmetry species and a common atom or bond between the two vibrations or vibrating groups, respectively. The interaction is greatest when the coupled groups have nearly equivalent energies; little to no interaction is observed by groups separated by two or more bonds. Despite the fact that coupling leads to uncertainties in functional group identification, it is this phenomenon that provides the unique features of a spectrum enabling compound identification.
For more reading on this spring-y subject:
Skoog D.A. and Leary J.J. Principles of Instrumental Analysis. 4th Edition. 1992.
Silverstein R.M, Spectrometric Identification of Organic Compounds, 5th Edition. 1991.
D. Burns, and E. Ciurczak,Handbook of Near-Infrared Analysis 2nd Edition, Marcel-Dekker, Inc. New York, 2001.
E. Ciurczak and J. Drennen, Near-Infrared Spectroscopy in Pharmaceutical and Medical Applications, Marcel-Dekker, Inc. New York, 2002.
L. Weyer and S.-C. Lo, “Spectra-Structure Correlations in the Near-infrared,” In Handbook of Vibrational Spectroscopy, Volume 3, Wiley, U.K., 2002.
